GG修改器破解版下载地址:https://ghb2023zs.bj.bcebos.com/gg/xgq/ggxgq?GGXGQ
大家好,今天小编为大家分享关于gg游戏修改器找脚本_gg修改器怎样执行游戏脚本的内容,赶快来一起来看看吧。
ggplot2是由Hadley Wickham创建的一个十分强大的可视化R包。按照ggplot2的绘图理念,Plot(图)= data(数据集)+ Aesthetics(美学映射)+ Geometry(几何对象):
在ggplot2中有两个主要绘图函数:qplot()以及ggplot()。
由ggplot2绘制出来的ggplot图可以作为一个变量,然后由print()显示出来。
根据数据集,ggplot2提供不同的方法绘制图形,主要是为下面几类数据类型提供绘图方法:
安装ggplot2提供三种方式:
#直接安装tidyverse,一劳永逸(推荐,数据分析大礼包)
install.packages("tidyverse")
#直接安装ggplot2
install.packages("ggplot2")
#从Github上安装最新的版本,先安装devtools(如果没安装的话)
devtools::install_github("tidyverse/ggplot2")
加载
library(ggplot2)
数据集应该数据框data.frame
本文将使用数据集mtcars。
#load the data set
data(mtcars)
df <- mtcars[, c("mpg","cyl","wt")]
#将cyl转为因子型factor
df$cyl <- as.factor(df$cyl)
head(df)
##                    mpg cyl    wt
## Mazda RX4         21.0   6 2.620
## Mazda RX4 Wag     21.0   6 2.875
## Datsun 710        22.8   4 2.320
## Hornet 4 Drive    21.4   6 3.215
## Hornet Sportabout 18.7   8 3.440
## Valiant           18.1   6 3.460
qplot()类似于R基本绘图函数plot(),可以快速绘制常见的几种图形:散点图、箱线图、小提琴图、直方图以及密度曲线图。其绘图格式为:
qplot(x, y=NULL, data, geom="auto")
其中:
qplot(x=mpg, y=wt, data=df, geom = "point")

也可以添加平滑曲线
qplot(x=mpg, y=wt, data = df, geom = c("point", "smooth"))

还有其他参数可以修改,比如点的形状、大小、颜色等
#将变量cyl映射给颜色和形状
qplot(x=mpg, y=wt, data = df, colour=cyl, shape=cyl)

#构造数据集
set.seed(1234)
wdata <- data.frame(
  sex=factor(rep(c("F", "M"), each=200)),
  weight=c(rnorm(200, 55), rnorm(200, 58))
)
head(wdata)
##   sex   weight
## 1   F 53.79293
## 2   F 55.27743
## 3   F 56.08444
## 4   F 52.65430
## 5   F 55.42912
## 6   F 55.50606
箱线图
qplot(sex, weight, data = wdata, geom = "boxplot", fill=sex)

小提琴图
qplot(sex, weight, data = wdata, geom = "violin")

点图
qplot(sex, weight, data = wdata, geom = "dotplot", stackdir="center", binaxis="y", dotsize=0.5, color=sex)

直方图
qplot(weight, data = wdata, geom = "histogram", fill=sex)

密度图
qplot(weight, data = wdata, geom = "density", color=sex, linetype=sex)

上文中的qplot()绘制散点图:
qplot(x=mpg, y=wt, data=df, geom = "point")
在ggplot()中完全可以如下实现:
ggplot(data=df, aes(x=mpg, y=wt))+
  geom_point()

改变点形状、大小、颜色等属性
ggplot(data=df, aes(x=mpg, y=wt))+geom_point(color="blue", size=2, shape=23)

绘图过程中常常要用到转换(transformation),这时添加图层的另一个方法是用stat_*()函数。
下例中的geom_density()与stat_density()是等价的
ggplot(wdata, aes(x=weight))+geom_density()
等价于
ggplot(wdata, aes(x=weight))+stat_density()

对于每一种几何图形。ggplot2 基本都提供了 geom()和 stat()
使用数据集wdata,先计算出不同性别的体重平均值
library(plyr)
mu <- ddply(wdata, "sex", summarise, grp.mean=mean(weight))
先绘制一个图层a,后面逐步添加图层
a <- ggplot(wdata, aes(x=weight))
可能添加的图层有:

a+geom_area(stat = "bin")

改变颜色
a+geom_area(aes(fill=sex), stat = "bin", alpha=0.6)+
  theme_classic()

注意:y轴默认为变量weight的数量即count,如果y轴要显示密度,可用以下代码:
a+geom_area(aes(y=..density..), stat = "bin")

可以通过修改不同属性如透明度、填充颜色、大小、线型等自定义图形:
使用以下函数:
a+geom_density()

根据sex修改颜色,将sex映射给line颜色
a+geom_density(aes(color=sex))

修改填充颜色以及透明度
a+geom_density(aes(fill=sex), alpha=0.4)

添加均值线以及手动修改颜色
a+geom_density(aes(color=sex))+
  geom_vline(data=mu, aes(xintercept=grp.mean, color=sex), linetype="dashed")+
  scale_color_manual(values = c("red", "blue"))

a+geom_dotplot()

将sex映射给颜色
a+geom_dotplot(aes(fill=sex))

手动修改颜色
a+geom_dotplot(aes(fill=sex))+
  scale_fill_manual(values=c("#999999", "#E69F00"))

a+geom_freqpoly()

y轴显示为密度
a+geom_freqpoly(aes(y=..density..))+
  theme_minimal()

修改颜色以及线型
a+geom_freqpoly(aes(color=sex, linetype=sex))+
  theme_minimal()

a+geom_histogram()

将sex映射给线颜色
a+geom_histogram(aes(color=sex), fill="white", position = "dodge")+theme_classic()

a+stat_ecdf()

ggplot(data = mtcars, aes(sample=mpg))+stat_qq()

#加载数据集
data(mpg)
b <- ggplot(mpg, aes(x=fl))
b+geom_bar()

修改填充颜色
b+geom_bar(fill="steelblue", color="black")+theme_classic()

使用数据集mtcars, 先创建一个ggplot图层
b <- ggplot(data = mtcars, aes(x=wt, y=mpg))
可能添加的图层有:

b+geom_point()

将变量cyl映射给点的颜色和形状
b + geom_point(aes(color = factor(cyl), shape = factor(cyl)))

自定义颜色
b+geom_point(aes(color=factor(cyl), shape=factor(cyl)))+
  scale_color_manual(values=c("#999999", "#E69F00", "#56B4E9"))+theme_classic()

可以添加回归曲线
b+geom_smooth()

散点图+回归线
b+geom_point()+
  geom_smooth(method = "lm", se=FALSE)#去掉置信区间

使用loess方法
b+geom_point()+
  geom_smooth(method = "loess")

将变量映射给颜色和形状
b+geom_point(aes(color=factor(cyl), shape=factor(cyl)))+
  geom_smooth(aes(color=factor(cyl), shape=factor(cyl)), method = "lm", se=FALSE, fullrange=TRUE)

ggplot(data = mpg, aes(cty, hwy))+
  geom_point()+geom_quantile()+
  theme_minimal()

使用数据集faithful
ggplot(data = faithful, aes(x=eruptions, y=waiting))+
  geom_point()+geom_rug()

实际上geom_jitter()是geom_point(position=”jitter”)的简称,下面使用数据集mpg
p <- ggplot(data = mpg, aes(displ, hwy))
p+geom_point()

增加抖动防止重叠
p+geom_jitter(width = 0.5, height = 0.5)

其中两个参数:
参数label用来指定注释标签 (ggrepel可以避免标签重叠)
b+geom_text(aes(label=rownames(mtcars)))

使用数据集diamonds
head(diamonds[, c("carat", "price")])
## # A tibble: 6 x 2
##   carat price
##   <dbl> <int>
## 1  0.23   326
## 2  0.21   326
## 3  0.23   327
## 4  0.29   334
## 5  0.31   335
## 6  0.24   336
创建ggplot图层,后面再逐步添加图层
c <- ggplot(data=diamonds, aes(carat, price))
可添加的图层有:

geom_bin2d()将点的数量用矩形封装起来,通过颜色深浅来反映点密度
c+geom_bin2d()

设置bin的数量
c+geom_bin2d(bins=150)

geom_hex()依赖于另一个R包hexbin,所以没安装的先安装:
install.packages("hexbin")
library(hexbin)
c+geom_hex()

修改bin的数目
c+geom_hex(bins=10)

sp <- ggplot(faithful, aes(x=eruptions, y=waiting))
sp+geom_point()+ geom_density_2d()

主要是如何通过线来连接两个变量,使用数据集economics。
head(economics)
## # A tibble: 6 x 6
##         date   pce    pop psavert uempmed unemploy
##       <date> <dbl>  <int>   <dbl>   <dbl>    <int>
## 1 1967-07-01 507.4 198712    12.5     4.5     2944
## 2 1967-08-01 510.5 198911    12.5     4.7     2945
## 3 1967-09-01 516.3 199113    11.7     4.6     2958
## 4 1967-10-01 512.9 199311    12.5     4.9     3143
## 5 1967-11-01 518.1 199498    12.5     4.7     3066
## 6 1967-12-01 525.8 199657    12.1     4.8     3018
先创建一个ggplot图层,后面逐步添加图层
d <- ggplot(data = economics, aes(x=date, y=unemploy))
可添加的图层有:
d+geom_area()

d+geom_line()

set.seed(1111)
ss <- economics[sample(1:nrow(economics), 20),]
ggplot(ss, aes(x=date, y=unemploy))+
  geom_step()

使用数据集ToothGrowth,其中的变量len(Tooth length)是连续变量,dose是离散变量。
ToothGrowth$dose <- as.factor(ToothGrowth$dose)
head(ToothGrowth)
##    len supp dose
## 1  4.2   VC  0.5
## 2 11.5   VC  0.5
## 3  7.3   VC  0.5
## 4  5.8   VC  0.5
## 5  6.4   VC  0.5
## 6 10.0   VC  0.5
创建图层
e <- ggplot(data = ToothGrowth, aes(x=dose, y=len))
可添加的图层有:

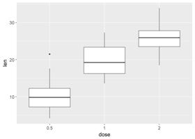
e+geom_boxplot()

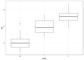
添加有缺口的箱线图
e+geom_boxplot(notch = TRUE)

按dose分组映射给颜色
e+geom_boxplot(aes(color=dose))

将dose映射给填充颜色
e+geom_boxplot(aes(fill=dose))

按supp进行分类并映射给填充颜色
ggplot(ToothGrowth, aes(x=dose, y=len))+ geom_boxplot(aes(fill=supp))

e+geom_violin(trim = FALSE)

添加中值点
e+geom_violin(trim = FALSE)+
  stat_summary(fun.data = mean_sdl, fun.args = list(mult=1),
               geom="pointrange", color="red")

与箱线图结合
e+geom_violin(trim = FALSE)+
  geom_boxplot(width=0.2)

将dose映射给颜色进行分组
e+geom_violin(aes(color=dose), trim = FALSE)

e+geom_dotplot(binaxis = "y", stackdir = "center")

添加中值点
e + geom_dotplot(binaxis = "y", stackdir = "center") +
  stat_summary(fun.data=mean_sdl, color = "red",geom = "pointrange",fun.args=list(mult=1))

与箱线图结合
e + geom_boxplot() +
  geom_dotplot(binaxis = "y", stackdir = "center")

添加小提琴图
e + geom_violin(trim = FALSE) +
  geom_dotplot(binaxis=’y’, stackdir=’center’)

将dose映射给颜色以及填充色
e + geom_dotplot(aes(color = dose, fill = dose),
                 binaxis = "y", stackdir = "center")

带状图是一种一维散点图,当样本量很小时,与箱线图相当
e + geom_jitter(position=position_jitter(0.2))

添加中值点
e + geom_jitter(position=position_jitter(0.2)) +
  stat_summary(fun.data="mean_sdl",  fun.args = list(mult=1),
               geom="pointrange", color = "red")

与点图结合
e + geom_jitter(position=position_jitter(0.2)) +
  geom_dotplot(binaxis = "y", stackdir = "center")

与小提琴图结合
e + geom_violin(trim = FALSE) +
  geom_jitter(position=position_jitter(0.2))

将dose映射给颜色和形状
e +  geom_jitter(aes(color = dose, shape = dose),
                 position=position_jitter(0.2))

#构造数据集
df <- data.frame(supp=rep(c("VC", "OJ"), each=3),
                dose=rep(c("D0.5", "D1", "D2"),2),
                len=c(6.8, 15, 33, 4.2, 10, 29.5))
head(df)
##   supp dose  len
## 1   VC D0.5  6.8
## 2   VC   D1 15.0
## 3   VC   D2 33.0
## 4   OJ D0.5  4.2
## 5   OJ   D1 10.0
## 6   OJ   D2 29.5
将supp映射线型
ggplot(df, aes(x=dose, y=len, group=supp)) +
  geom_line(aes(linetype=supp))+
  geom_point()

修改线型、点的形状以及颜色
ggplot(df, aes(x=dose, y=len, group=supp)) +
  geom_line(aes(linetype=supp, color = supp))+
  geom_point(aes(shape=supp, color = supp))

#构造数据集
df <- data.frame(dose=c("D0.5", "D1", "D2"),
                len=c(4.2, 10, 29.5))
head(df)
##   dose  len
## 1 D0.5  4.2
## 2   D1 10.0
## 3   D2 29.5
df2 <- data.frame(supp=rep(c("VC", "OJ"), each=3),
                dose=rep(c("D0.5", "D1", "D2"),2),
                len=c(6.8, 15, 33, 4.2, 10, 29.5))
head(df2)
##   supp dose  len
## 1   VC D0.5  6.8
## 2   VC   D1 15.0
## 3   VC   D2 33.0
## 4   OJ D0.5  4.2
## 5   OJ   D1 10.0
## 6   OJ   D2 29.5
创建图层
f <- ggplot(df, aes(x = dose, y = len))
f + geom_bar(stat = "identity")

修改填充色以及添加标签
f + geom_bar(stat="identity", fill="steelblue")+
  geom_text(aes(label=len), vjust=-0.3, size=3.5)+
  theme_minimal()

将dose映射给条形图颜色
f + geom_bar(aes(color = dose),
             stat="identity", fill="white")

修改填充色
f + geom_bar(aes(fill = dose), stat="identity")

将变量supp映射给填充色,从而达到分组效果
g <- ggplot(data=df2, aes(x=dose, y=len, fill=supp))
g + geom_bar(stat = "identity")#position默认为stack

修改position为dodge
g + geom_bar(stat="identity", position=position_dodge())

使用数据集diamonds中的两个离散变量color以及cut
ggplot(diamonds, aes(cut, color)) +
  geom_jitter(aes(color = cut), size = 0.5)

df <- ToothGrowth
df$dose <- as.factor(df$dose)
head(df)
##    len supp dose
## 1  4.2   VC  0.5
## 2 11.5   VC  0.5
## 3  7.3   VC  0.5
## 4  5.8   VC  0.5
## 5  6.4   VC  0.5
## 6 10.0   VC  0.5
绘制误差图需要知道均值以及标准误,下面这个函数用来计算每组的均值以及标准误。
data_summary <- function(data, varname, grps){
  require(plyr)
  summary_func <- function(x, col){
    c(mean = mean(x[[col]], na.rm=TRUE),
      sd = sd(x[[col]], na.rm=TRUE))
  }
  data_sum<-ddply(data, grps, .fun=summary_func, varname)
  data_sum <- rename(data_sum, c("mean" = varname))
 return(data_sum)
}
计算均值以及标准误
df2 <- data_summary(df, varname="len", grps= "dose")
# Convert dose to a factor variable
df2$dose=as.factor(df2$dose)
head(df2)
##   dose    len       sd
## 1  0.5 10.605 4.499763
## 2    1 19.735 4.415436
## 3    2 26.100 3.774150
创建图层
f <- ggplot(df2, aes(x = dose, y = len,
                     ymin = len-sd, ymax = len+sd))
可添加的图层有:
具体如下:

f+geom_crossbar()

将dose映射给颜色
f+geom_crossbar(aes(color=dose))

自定义颜色
f+geom_crossbar(aes(color=dose))+
  scale_color_manual(values = c("#999999", "#E69F00", "#56B4E9"))+theme_classic()

修改填充色
f+geom_crossbar(aes(fill=dose))+
  scale_fill_manual(values = c("#999999", "#E69F00", "#56B4E9"))+
  theme_classic()

通过将supp映射给颜色实现分组,可以利用函数stat_summary()来计算mean和sd
f <- ggplot(df, aes(x=dose, y=len, color=supp))
f+stat_summary(fun.data = mean_sdl, fun.args = list(mult=1), geom="crossbar", width=0.6, position = position_dodge(0.8))

f <- ggplot(df2, aes(x=dose, y=len, ymin=len-sd, ymax=len+sd))
将dose映射给颜色
f+geom_errorbar(aes(color=dose), width=0.2)

与线图结合
f+geom_line(aes(group=1))+
  geom_errorbar(width=0.15)

与条形图结合,并将变量dose映射给颜色
f+geom_bar(aes(color=dose), stat = "identity", fill="white")+
  geom_errorbar(aes(color=dose), width=0.1)

#构造数据集
df2 <- data_summary(ToothGrowth, varname="len", grps = "dose")
df2$dose <- as.factor(df2$dose)
head(df2)
##   dose    len       sd
## 1  0.5 10.605 4.499763
## 2    1 19.735 4.415436
## 3    2 26.100 3.774150
创建图层
f <- ggplot(data = df2, aes(x=len, y=dose,xmin=len-sd, xmax=len+sd))
参数xmin与xmax用来设置水平误差棒
f+geom_errorbarh()

通过映射实现分组
f+geom_errorbarh(aes(color=dose))

f <- ggplot(df2, aes(x=dose, y=len, ymin=len-sd, ymax=len+sd))
line range
f+geom_linerange()

point range
f+geom_pointrange()

g <- ggplot(df, aes(x=dose, y=len))+
  geom_dotplot(binaxis = "y", stackdir = "center")
添加geom_crossbar()
g+stat_summary(fun.data = mean_sdl, fun.args = list(mult=1), geom="crossbar", color="red", width=0.1)

添加geom_errorbar()
g + stat_summary(fun.data=mean_sdl, fun.args = list(mult=1),
        geom="errorbar", color="red", width=0.2) +
  stat_summary(fun.y=mean, geom="point", color="red")

添加geom_pointrange()
g + stat_summary(fun.data=mean_sdl, fun.args = list(mult=1),
                 geom="pointrange", color="red")

ggplot2提供了绘制地图的函数geom_map(),依赖于包maps提供地理信息。
安装map
install.paclages("maps")
下面将绘制美国地图,数据集采用USArrests
library(maps)
head(USArrests)
##            Murder Assault UrbanPop Rape
## Alabama      13.2     236       58 21.2
## Alaska       10.0     263       48 44.5
## Arizona       8.1     294       80 31.0
## Arkansas      8.8     190       50 19.5
## California    9.0     276       91 40.6
## Colorado      7.9     204       78 38.7
对数据进行整理一下,添加一列state
crimes <- data.frame(state=tolower(rownames(USArrests)), USArrests)
head(crimes)
##            Murder Assault UrbanPop Rape
## Alabama      13.2     236       58 21.2
## Alaska       10.0     263       48 44.5
## Arizona       8.1     294       80 31.0
## Arkansas      8.8     190       50 19.5
## California    9.0     276       91 40.6
## Colorado      7.9     204       78 38.7
#数据重铸
library(reshape2)
crimesm <- melt(crimes, id=1)
head(crimesm)
##        state variable value
## 1    alabama   Murder  13.2
## 2     alaska   Murder  10.0
## 3    arizona   Murder   8.1
## 4   arkansas   Murder   8.8
## 5 california   Murder   9.0
## 6   colorado   Murder   7.9
map_data <- map_data("state")
#绘制地图,使用Murder进行着色
ggplot(crimes, aes(map_id=state))+
  geom_map(aes(fill=Murder), map=map_data)+
  expand_limits(x=map_data$long, y=map_data$lat)

使用数据集mtcars,首先绘制一个相关性图
#构造数据
df <- mtcars[, c(1,3,4,5,6,7)]
head(df)
##                    mpg disp  hp drat    wt  qsec
## Mazda RX4         21.0  160 110 3.90 2.620 16.46
## Mazda RX4 Wag     21.0  160 110 3.90 2.875 17.02
## Datsun 710        22.8  108  93 3.85 2.320 18.61
## Hornet 4 Drive    21.4  258 110 3.08 3.215 19.44
## Hornet Sportabout 18.7  360 175 3.15 3.440 17.02
## Valiant           18.1  225 105 2.76 3.460 20.22
cormat <- round(cor(df), 2)
cormat_melt <- melt(cormat)
head(cormat)
##        mpg  disp    hp  drat    wt  qsec
## mpg   1.00 -0.85 -0.78  0.68 -0.87  0.42
## disp -0.85  1.00  0.79 -0.71  0.89 -0.43
## hp   -0.78  0.79  1.00 -0.45  0.66 -0.71
## drat  0.68 -0.71 -0.45  1.00 -0.71  0.09
## wt   -0.87  0.89  0.66 -0.71  1.00 -0.17
## qsec  0.42 -0.43 -0.71  0.09 -0.17  1.00
创建图层:
g <- ggplot(cormat_melt, aes(x=Var1, y=Var2))
在此基础上可添加的图层有:
现在使用使用geom_tile()绘制相关性矩阵图,我们这里这绘制下三角矩阵图,首先要整理数据:
#获得相关矩阵的下三角
get_lower_tri <- function(cormat){
  cormat[upper.tri(cormat)] <- NA
  return(cormat)
}
#获得相关矩阵的上三角
get_upper_tri <- function(cormat){
  cormat[lower.tri(cormat)] <- NA
  return(cormat)
}
upper_tri <- get_upper_tri(cormat = cormat)
head(upper_tri)
##      mpg  disp    hp  drat    wt  qsec
## mpg    1 -0.85 -0.78  0.68 -0.87  0.42
## disp  NA  1.00  0.79 -0.71  0.89 -0.43
## hp    NA    NA  1.00 -0.45  0.66 -0.71
## drat  NA    NA    NA  1.00 -0.71  0.09
## wt    NA    NA    NA    NA  1.00 -0.17
## qsec  NA    NA    NA    NA    NA  1.00
绘制相关矩阵图
#数据重铸
upper_tri_melt <- melt(upper_tri, na.rm = TRUE)
ggplot(data=upper_tri_melt, aes(Var1, y=Var2, fill=value))+
  geom_tile(color="white")+
  scale_fill_gradient2(low = "blue", high = "red", mid = "white", midpoint = 0, limit=c(-1, 1), space = "Lab", name="Person
Correlation")+
  theme_minimal()+
  theme(axis.text.x = element_text(angle = 45, vjust = 1, size = 12, hjust = 1))+
  coord_fixed()

上图中蓝色代表互相关,红色代表正相关,至于coord_fixed()保证x,y轴比例为1
可以看出上图顺序有点乱,我们可以对相关矩阵进行排序
#构造函数
reorder_cormat <- function(cormat){
  dd <- as.dist((1-cormat)/2)
  hc <- hclust(dd)
  cormat <- cormat[hc$order, hc$order]
}
cormat <- reorder_cormat(cormat)
lower_tri <- get_lower_tri(cormat)
lower_tri_melt <- melt(lower_tri, na.rm = TRUE)
head(lower_tri_melt)
##   Var1 Var2 value
## 1   hp   hp  1.00
## 2 disp   hp  0.79
## 3   wt   hp  0.66
## 4 qsec   hp -0.71
## 5  mpg   hp -0.78
## 6 drat   hp -0.45
绘制图形
ggheatmap <- ggplot(lower_tri_melt, aes(Var1, Var2, fill=value))+
  geom_tile(color="white")+
  scale_fill_gradient2(low = "blue", high = "red", mid = "white", midpoint = 0, limit=c(-1, 1), space = "Lab", name="Person
Correlation")+
  theme_minimal()+
 theme(axis.text.x = element_text(angle = 45, vjust = 1,
    size = 12, hjust = 1))+
 coord_fixed()
print(ggheatmap)

本节主要讲述的是添加图形元件,将用到一下函数:
library(dplyr)
map_data("world")%>%
  filter(region==c("China", "Taiwan"))%>%
  ggplot(aes(x=long, y=lat, group=group))+
  geom_polygon(fill="red", color="black")

创建图层
h <- ggplot(economics, aes(date, unemploy))
添加路径
h+geom_path()

添加带状
h+geom_ribbon(aes(ymin=unemploy-800, ymax=unemploy+800), fill = "grey70")+geom_line(aes(y=unemploy))

添加矩形
h+
  geom_path()+
  geom_rect(aes(xmin=as.Date("1980-01-01"), ymin=-Inf, xmax=as.Date("1985-01-01"), ymax=Inf), fill="steelblue")

i <- ggplot(mtcars, aes(wt, mpg))+geom_point()
#添加线段
i+geom_segment(aes(x=2, y=15, xend=3, yend=15))

添加箭头
i+geom_segment(aes(x=5, y=30, xend=3.5, yend=25), arrow = arrow(length = unit(0.5, "cm")))

i+geom_curve(aes(x=2, y=15, xend=3, yend=15), color="red")

创建图层
ToothGrowth$dose <- as.factor(ToothGrowth$dose)
p <- ggplot(ToothGrowth, aes(x=dose, y=len))+geom_boxplot()
修改标题以及标签的函数有:
(p <- p+labs(title="Plot of length
by dose", x="Dose (mg)", y="teeth length"))

使用theme()修改,element_text()可以具体修改图形参数,element_blank()隐藏标签
#修改标签
p+theme(
plot.title = element_text(color = "red", size = 14, face = "bold.italic"),
axis.title.x = element_text(color="blue", size = 14, face = "bold"),
axis.title.y = element_text(color="#993333", size = 14, face = "bold")
)

#隐藏标签
p+theme(
  plot.title = element_blank(),
  axis.title.x = element_blank(),
  axis.title.y = element_blank()
)

p <- ggplot(ToothGrowth, aes(x=dose, y=len, fill=dose))+
  geom_boxplot()
p

#修改图例标题
p+labs(fill="Dose (mg)")

#图例位置在最上面,有五个选项:"left","top", "right", "bottom", "none"
p+theme(legend.position = "top")

移除图例
p+theme(legend.position = "none")

修改图例标题以及标签外观
p+theme(
  legend.title = element_text(color="blue"),
  legend.text = element_text(color="red")
)

修改图例背景
p+theme(legend.background = element_rect(fill="lightblue"))

主要两个函数:
#修改顺序
p+scale_x_discrete(limits=c("2", "0.5", "1"))

#修改标题以及标签
p+scale_fill_discrete(name="Dose", label=c("A","B","C"))

mtcars$cyl <- as.factor(mtcars$cyl)
创建图层
# boxplot
bp <- ggplot(ToothGrowth, aes(x=dose, y=len))
# scatter plot
sp <- ggplot(mtcars, aes(x=wt, y=mpg))
bp+geom_boxplot(fill="steelblue", color="red")

sp+geom_point(color="darkblue")

(bp <- bp+geom_boxplot(aes(fill=dose)))

(sp <- sp+geom_point(aes(color=cyl)))

主要两个函数:
# Box plot
bp + scale_fill_manual(values=c("#999999", "#E69F00", "#56B4E9"))

# Scatter plot
sp + scale_color_manual(values=c("#999999", "#E69F00", "#56B4E9"))

# Box plot
bp + scale_fill_brewer(palette="Dark2")

# Scatter plot
sp + scale_color_brewer(palette="Dark2")

RColorBrewer包提供以下调色板

还专门有一个灰度调色板:
# Box plot
bp + scale_fill_grey() + theme_classic()

# Scatter plot
sp + scale_color_grey() + theme_classic()

有时我们会将某个连续变量映射给颜色,这时修改这种梯度或连续型颜色就可以使用以下函数:
# Color by qsec values
sp2<-ggplot(mtcars, aes(x=wt, y=mpg)) +
  geom_point(aes(color = qsec))
sp2

# Change the low and high colors
# Sequential color scheme
sp2+scale_color_gradient(low="blue", high="red")

# Diverging color scheme
mid<-mean(mtcars$qsec)
sp2+scale_color_gradient2(midpoint=mid, low="blue", mid="white",
                          high="red", space = "Lab" )

R提供的点形状是由数字表示的,具体如下:

# Basic scatter plot
ggplot(mtcars, aes(x=wt, y=mpg)) +
  geom_point(shape = 18, color = "steelblue", size = 4)

# Change point shapes and colors by groups
ggplot(mtcars, aes(x=wt, y=mpg)) +
  geom_point(aes(shape = cyl, color = cyl))

可通过以下方法对点的颜色、大小、形状进行修改:
# Change colors and shapes manually
ggplot(mtcars, aes(x=wt, y=mpg, group=cyl)) +
  geom_point(aes(shape=cyl, color=cyl), size=2)+
  scale_shape_manual(values=c(3, 16, 17))+
  scale_color_manual(values=c(’#999999’,’#E69F00’, ’#56B4E9’))+
  theme(legend.position="top")

对图形进行文本注释有以下方法:
set.seed(1234)
df <- mtcars[sample(1:nrow(mtcars), 10), ]
df$cyl <- as.factor(df$cyl)
散点图注释
# Scatter plot
sp <- ggplot(df, aes(x=wt, y=mpg))+ geom_point()
# Add text, change colors by groups
sp + geom_text(aes(label = rownames(df), color = cyl),
               size = 3, vjust = -1)

# Add text at a particular coordinate
sp + geom_text(x = 3, y = 30, label = "Scatter plot",
              color="red")

# geom_label()进行注释
sp + geom_label(aes(label=rownames(df)))

# annotation_custom(),需要用到textGrob()
library(grid)
# Create a text
grob <- grobTree(textGrob("Scatter plot", x=0.1,  y=0.95, hjust=0,
  gp=gpar(col="red", fontsize=13, fontface="italic")))
# Plot
sp + annotation_custom(grob)
#分面注释
sp + annotation_custom(grob)+facet_wrap(~cyl, scales="free")

R里的线型有七种:“blank”, “solid”, “dashed”, “dotted”, “dotdash”, “longdash”, “twodash”,对应数字0,1,2,3,4,5,6.
具体如下:

# Create some data
df2 <- data.frame(sex = rep(c("Female", "Male"), each=3),
                  time=c("breakfeast", "Lunch", "Dinner"),
                  bill=c(10, 30, 15, 13, 40, 17) )
head(df2)
##      sex       time bill
## 1 Female breakfeast   10
## 2 Female      Lunch   30
## 3 Female     Dinner   15
## 4   Male breakfeast   13
## 5   Male      Lunch   40
## 6   Male     Dinner   17
# Line plot with multiple groups
# Change line types and colors by groups (sex)
ggplot(df2, aes(x=time, y=bill, group=sex)) +
  geom_line(aes(linetype = sex, color = sex))+
  geom_point(aes(color=sex))+
  theme(legend.position="top")

同点一样,线也可以类似修改:
# Change line types, colors and sizes
ggplot(df2, aes(x=time, y=bill, group=sex)) +
  geom_line(aes(linetype=sex, color=sex, size=sex))+
  geom_point()+
  scale_linetype_manual(values=c("twodash", "dotted"))+
  scale_color_manual(values=c(’#999999’,’#E69F00’))+
  scale_size_manual(values=c(1, 1.5))+
  theme(legend.position="top")

# Convert the column dose from numeric to factor variable
ToothGrowth$dose <- as.factor(ToothGrowth$dose)
创建箱线图
p <- ggplot(ToothGrowth, aes(x=dose, y=len))+
  geom_boxplot()
修改主题
ggplot2提供了好几种主题,另外有一个扩展包ggthemes专门提供了一主题,可以安装利用。
install.packages("ggthemes")
p+theme_gray(base_size = 14)

p+theme_bw()

p + theme_linedraw()

p + theme_light()

p + theme_minimal()

p + theme_classic()

ggthemes提供的主题
p+ggthemes::theme_economist()

p <- ggplot(cars, aes(x=speed, y=dist))+geom_point()
修改坐标轴范围有以下几种方式:
1、不删除数据
2、会删除部分数据:不在此范围内的数据都会被删除,因此在此基础上添加图层时数据是不完整的
3、扩展图形范围:expand()函数,扩大范围
下面通过图形演示
p

#通过coord_cartesian()函数修改坐标轴范围
p+coord_cartesian(xlim =c (5, 20), ylim = c(0, 50))

#通过xlim()和ylim()函数修改
p+xlim(5, 20)+ylim(0, 50)

#expand limits
p+expand_limits(x=c(5, 50), y=c(0, 150))

p <- ggplot(cars, aes(x=speed, y=dist))+geom_point()
坐标变换有以下几种:
下面实例演示:
p

p+scale_x_continuous(trans = "log2")+
  scale_y_continuous(trans = "log2")

#修改坐标刻度标签
require(scales)
p+scale_y_continuous(trans=log2_trans(),
                     breaks = trans_breaks("log2", function(x) 2^x),
                     labels=trans_format("log2", math_format(2^.x)))

#坐标轴反向
p+scale_y_reverse()

更改坐标轴刻度线标签等函数:
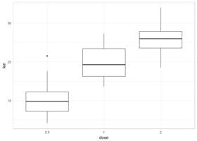
(p <- ggplot(ToothGrowth, aes(x=dose, y=len))+geom_boxplot())

修改刻度标签等
p+theme(axis.text.x = element_text(face = "bold", color="#993333", size=14, angle = 45),
        axis.text.y = element_text(face = "bold", size = 14, color = "blue", angle = 45))

移除刻度标签等
p + theme(
  axis.text.x = element_blank(), # Remove x axis tick labels
  axis.text.y = element_blank(), # Remove y axis tick labels
  axis.ticks = element_blank()) # Remove ticks

当然可以自定义坐标轴了
详细情况如下:
其中scale_xx()函数可以修改坐标轴的如下参数:
具体演示:
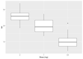
#修改标签以及顺序
p+scale_x_discrete(name="Dose (mg)", limits=c("2", "1", "0.5"))

#修改刻度标签
p+scale_x_discrete(breaks=c("0.5", "1", "2"),labels=c("Dose 0.5", "Dose 1", "Dose 2"))

#修改要显示的项
p+scale_x_discrete(limits=c("0.5", "2"))

实例演示:
sp <- ggplot(data=mtcars, aes(x=wt, y=mpg))+ geom_point()
添加直线:
#在y=20处添加一水平线,并设置颜色等
sp+geom_hline(yintercept = 20, linetype="dashed", color=’red’)

#在x=3处添加一竖直线,并设置颜色等
sp+geom_vline(xintercept = 3, color="blue", size=1.5)

#添加回归线
sp+geom_abline(intercept = 37, slope = -5, color="blue")

#添加水平线段
sp+geom_segment(aes(x=2, y=15, xend=3, yend=15), color="red")

主要是下面两个函数:
set.seed(1234)
(hp <- qplot(x=rnorm(200), geom = "histogram"))

#水平柱形图
hp+coord_flip()

#y轴反向
hp+scale_y_reverse()

分面就是根据一个或多个变量将图形分为几个图形以便于可视化,主要有两个方法实现:
ToothGrowth$dose <- as.factor(ToothGrowth$dose)
(p <- ggplot(ToothGrowth, aes(x=dose, y=len, group=dose))+
  geom_boxplot(aes(fill=dose)))

针对上面图形进行分面:
1、按一个离散变量进行分面:
#竖直方向进行分面
p+facet_grid(supp~.)

#水平方向分面
p+facet_grid(.~supp)

2、按两个离散变量进行分面
#行按dose分面,列按supp分面
p+facet_grid(dose~supp)

#行按supp,列按dose分面
p+facet_grid(supp~dose)

从上面图形可以看出,每个面板的坐标轴比例都是一样的,我们可以通过设置参数scales来控制坐标轴比例
p + facet_grid(dose ~ supp, scales=’free’)

很多图形需要我们调整位置,比如直方图时,由堆叠式、百分式、分离式等,具体的要通过实例说明
p <- ggplot(mpg, aes(fl, fill=drv))
#直方图边靠边排列,参数position="dodge"
p+geom_bar(position = "dodge")
ggplot(mpg, aes(cty, hwy))+
  geom_point(position = "jitter")

上面几个函数有两个重要的参数:heigth、weight。
p+geom_bar(position = position_dodge(width = 1))

p <- ggplot(mpg, aes(fl))+geom_bar()
ggplot2中的坐标系主要有:
各个坐标系参数如下:
1、笛卡尔坐标系:coord_cartesian(), coord_fixed() and coord_flip()
2、极坐标系:coord_polar()
3、变换坐标系:coord_trans()
实例演示:
p+coord_cartesian(ylim = c(0,200))

p+coord_fixed(ratio = 1/50)

p+coord_flip()

p+coord_polar(theta = "x", direction = 1)

p+coord_trans(y="sqrt")

以上就是关于gg游戏修改器找脚本_gg修改器怎样执行游戏脚本的全部内容,希望对大家有帮助。

gg游戏修改器自动锁定数值,GG游戏修改器:为游戏爱好者的游戏体验带来新的可能性 大小:9.72MB8,853人安装 随着游戏市场的不断发展,越来越多的游戏爱好者想要尝试各种不同的游戏体验。而GG游……
下载
GG修改器中文版百度云,让你的游戏快速高效升级,GG修改器中文版百度云 大小:7.49MB8,586人安装 在游戏中快速升级是每个玩家都追求的目标,但是有时候我们会发现自己的游戏进展缓慢……
下载
gg修改器下载中文手机_gg修改器手机版下载教程 大小:17.98MB9,858人安装 大家好,今天小编为大家分享关于gg修改器下载中文手机_gg修改器手机版下载教程的内……
下载
gg修改器破解版和中文版_gg修改器 吾爱破解 大小:19.24MB10,098人安装 大家好,今天小编为大家分享关于gg修改器破解版和中文版_gg修改器 吾爱破解的内容,……
下载
gg游戏修改器最新版本下载,强悍功能,高效操作赞美GG游戏修改器最新版本 大小:13.92MB8,544人安装 对于游戏爱好者来说,游戏体验的流畅与舒适至关重要。虽然每款游戏都有其特色和难度……
下载
gg修改器免root最全攻略,了解 gg修改器免root 大小:7.71MB8,577人安装 如果你是一位玩游戏的玩家,那么你一定知道修改器的重要性。然而,对于那些不想付出……
下载
gg修改器免root不闪退_gg修改器免root版 大小:10.66MB9,703人安装 大家好,今天小编为大家分享关于gg修改器免root不闪退_gg修改器免root版的内容,赶……
下载
修改器免root版本gg_修改器免root版本怎么用 大小:5.88MB9,850人安装 大家好,今天小编为大家分享关于修改器免root版本gg_修改器免root版本怎么用的内容……
下载
泰拉利亚gg修改器下载中文, 泰拉利亚gg修改器下载中文:一个令人欣喜的游戏辅助工具 大小:16.58MB8,491人安装 泰拉利亚(Terraria)这个游戏是一个充满乐趣和挑战的冒险游戏,在游戏中你需要努力……
下载
GG修改器搜索不到游戏进程,GG修改器:改变你的游戏体验 大小:9.77MB8,431人安装 作为一名游戏爱好者,我们总是希望游戏能够更加的完美,让我们更加的沉浸其中。但有……
下载